Kim Seon Deok
밑바닥부터 시작하는 딥러닝1 - 2장 : 퍼셉트론 본문
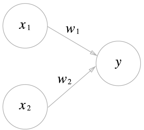
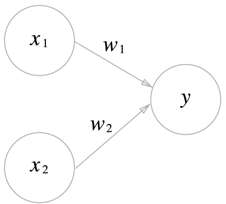
2-1 퍼셉트론이란
신경망(딥러닝)의 기원이 되는 알고리즘
다수의 신호를 입력으로 받아 하나의 신호를 출력


x1 ,x2 : 입력신호
y : 출력신호
w1x1 + w2x2 <= θ » 비활성화
w1x1 + w2x2 > θ » 활성화
w1, w2 : 가중치 » 각 입력신호가 결과에 주는 영향력(중요도)를 조절하는 매개변수
θ : 임계값
b = -θ : 편향 >> 뉴런이 얼마나 쉽게 활성화 하는지를 조정하는 매개변수
2-2. 단순한 논리회로
(단층)퍼셉트론은 직선으로 나뉜 두 영역을 만든다.
<AND게이트> <NAND게이트> <OR게이트>




학습 : 적절한 매개변수 값을 정하는 작업
퍼셉트론의 구조는 AND, NAND, OR게이트 모두에서 똑같다. 매개변수(가중치, 임계값) 의 값만 다르다.
<AND함수>
def AND(x1,x2):
w1, w2 ,theta = 0.5,0.5,0.7
tmp = x1*w1 + x2 * w2
if tmp <= theta:
return 0
elif tmp > theta:
return 1
print(AND(0,0))
print(AND(1,0))
print(AND(1,1))
2-3.퍼셉트론 구현하기

퍼셉트론은 입력신호에 가중치를 곲한 값과 편향을 통해 그 값이 0을 넘으면 1을 출력, 그렇지 않으면 0을 출력
2-4. 퍼셉트론의 한계
<XOR게이트>


단층 퍼셉트론의 한계
퍼셉트론은 직선 하나로 나눈 영역만 표현할 수 있다. 따라서 단층 퍼셉트론은 비선형 영역을 분리할 수 없다.
곡선의 영역 - 비선형 영역
직선의 영역 - 선형 영역
2-5. 다층 퍼셉트론 = 신경망
층이 여러개인 퍼셉트론. 단층 퍼셉트론으로는 구현하지 못한 것을 층을 하나 늘려 구현
퍼셉트론은 층을 쌓아 즉 깊게 하여 비 선형적인 표현 및 컴퓨터 수행처리가 가능하다.
<XOR게이트>


다층 퍼셉트론의 한계
가중치를 설정하는 작업은 여전히 사람이 수동적으로 해주어야 한다.
'AI > Deep Learning' 카테고리의 다른 글
| 밑바닥부터 시작하는 딥러닝 1 : 4장 - 신경망 학습 (0) | 2022.03.08 |
|---|---|
| 밑바닥부터 시작하는 딥러닝 1 - 3장 : 신경망 (0) | 2022.03.08 |
| 7. Numpy & NLTK (0) | 2022.01.21 |
| 6. Batch Normalization (0) | 2022.01.21 |
| 5. CNN을 활용한 대표적 모델 (0) | 2022.01.21 |