Kim Seon Deok
5.Faster R-CNN 본문
Faster RCNN
RPN + Fast RCNN

selective Search를 Neural network 구조로 대체
-gpu 사용으로 빠른 학습/inference가 가능해짐
-End to End Network학습
Anchor Box
Object가 있는지 없는지의 후보 Box
Object의 형태가 다르므로 총 9개의 Anchor box, 3개의 서로 다른 크기, 3개의 서로 다른 ratio로 구성


800*600 크기의 이미지를 1/16으로 downsampling 하여 50*38 = 1900의 크기로 변경
총 anchor box의 개수 = 1900 * 9 = 17100개
기존의 고정된 크기의 bounding box를 사용할 때보다 9배 많은 bounding box를 생성하며 더 다양한 크기의 객체를 포착하는 것이 가능해진다.
RPN(Region Proposal Network)
객체가 있을 법한 영역을 미리 찾는 형식인 Selective search를 대체




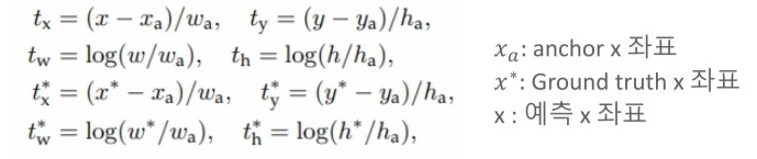
RPN Loss함수

요약
1. imagenet pre-trained model을 불러와서 RPN을 학습합니다.
2. 학습된 RPN에서 생성된 proposal을 사용하여 뒤에 있는 detection network(Fast R-CNN)를 학습합니다.
3. detector network와 RPN을 불러온 다음 CNN의 모든 가중치를 고정시킨채 RPN을 학습합니다.
4. CNN의 가중치를 고정시킨 채로 detection network(Fast R-CNN)를 학습시킵니다.
이러한 과정으로 Faster R-CNN이 학습됩니다.
'AI > Computer Vision' 카테고리의 다른 글
| 4.Fast-R-CNN (0) | 2022.03.19 |
|---|---|
| 3.RCNN (0) | 2022.03.19 |
| 2.Object Detection과 Segmentation을 위한 주요 Dataset (0) | 2022.03.19 |
| 1. Object detection의 이해 (0) | 2022.03.16 |