Kim Seon Deok
졸업작품 - 딥러닝을 사용한 한우 중량 측정 본문
'딥러닝을 사용한 한우 중량 측정'
1.데이터 배분

2. Mask영상획득
## Mask 영상 획득
from google.colab import drive
drive.mount('/gdrive')
!git clone https://github.com/matterport/Mask_RCNN '/gdrive/My Drive/Colab Notebooks/Mask_RCNN'
!pip install tensorboard==1.15.0 tensorflow==1.15.0 tensorflow-estimator==1.15.1 tensorflow-gpu==1.15.2 tensorflow-gpu-estimator==2.1.0 Keras==2.2.5
!python3 '/gdrive/My Drive/Colab Notebooks/Mask_RCNN/samples/balloon/balloon.py' train --dataset='/gdrive/My Drive/Colab Notebooks/Mask_RCNN/samples/balloon/cow_
3. opencv로 한우의 top view를 타원형으로 검출


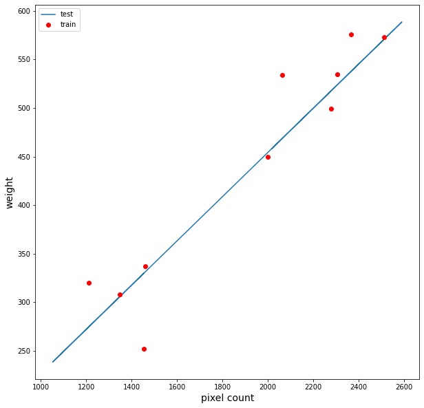
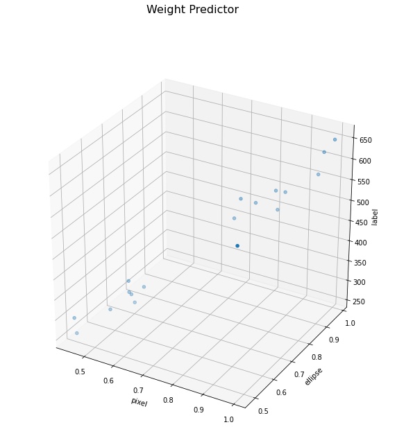
4. train data와 test data비교


Comments